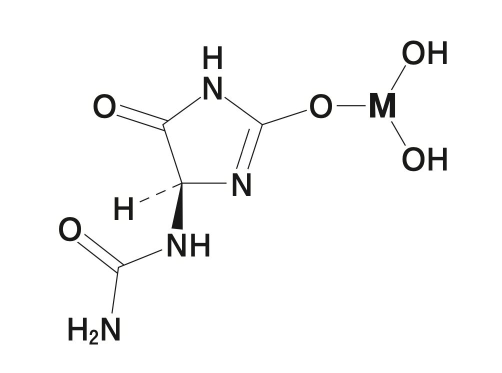
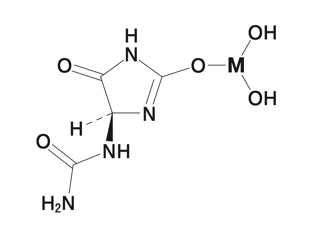
第110回薬剤師国家試験 問7 2025 4/14 第110回薬剤師国家試験 以下の薬物に含まれる金属元素Mとして適切なのはどれか。1つ選べ。 Li Mg Al Ca Zn 解答・解説 解答 3 解説 設問の構造はアルジオキサである。アルジオキサは、アラントインと水酸化アルミニウムを縮合させたアラントインのニ水酸化アルミニウム塩である。構造中の金属元素Mは、3価の金属イオンであるアルミニウム(Al3+)である。 なお、アルジオキサは、胃粘膜保護作用を有しており、胃潰瘍、十二指腸潰瘍、胃炎の治療に用いられる。 第110回薬剤師国家試験 よかったらシェアしてね! URLをコピーしました! 第110回薬剤師国家試験 問6 アルドヘキソースのアノマー 第110回薬剤師国家試験 問8 酸性度 関連記事 第110回薬剤師国家試験 問167 2025年3月31日 第110回薬剤師国家試験 問130 2025年3月30日 第110回薬剤師国家試験 問342 2025年3月30日 第110回薬剤師国家試験 問338 2025年3月30日 第110回薬剤師国家試験 問318〜319 2025年3月30日 第110回薬剤師国家試験 問306〜307 2025年3月30日 第110回薬剤師国家試験 問276〜277 2025年3月30日 第110回薬剤師国家試験 問274〜275 2025年3月30日 コメント コメントする コメントをキャンセルコメント ※ 名前 メール サイト
コメント