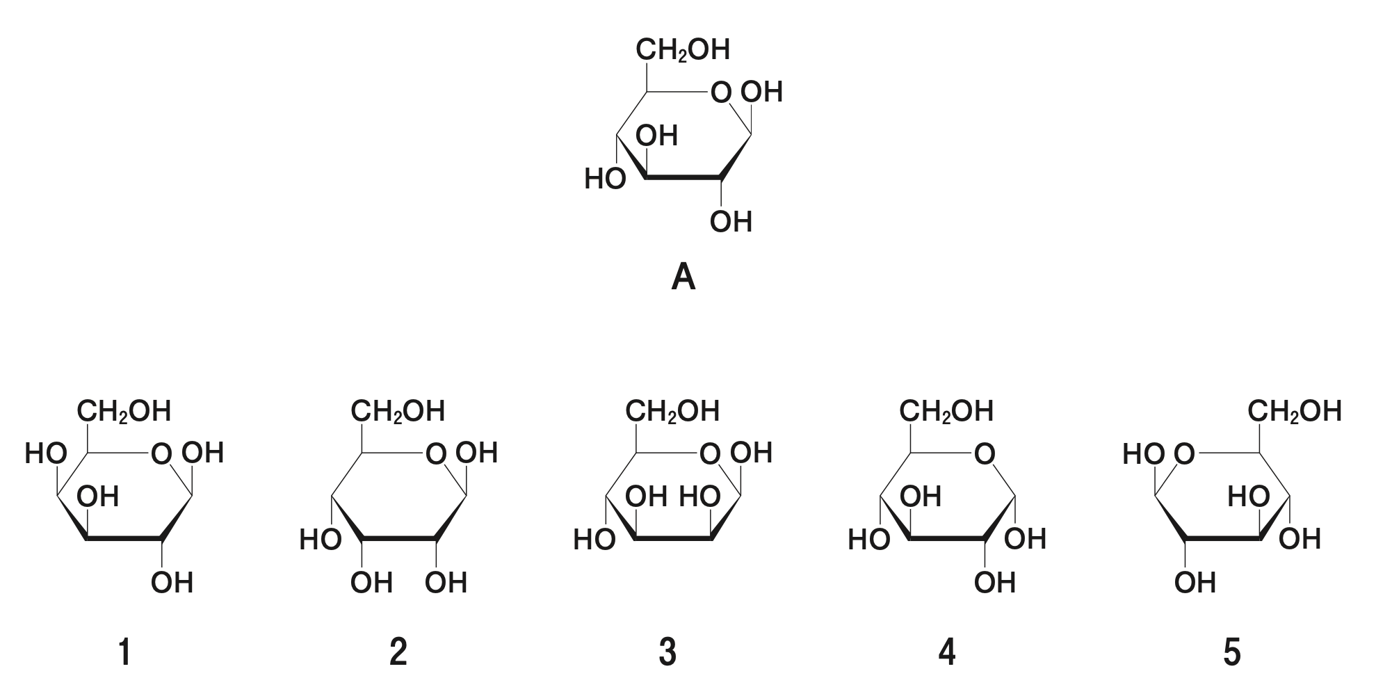
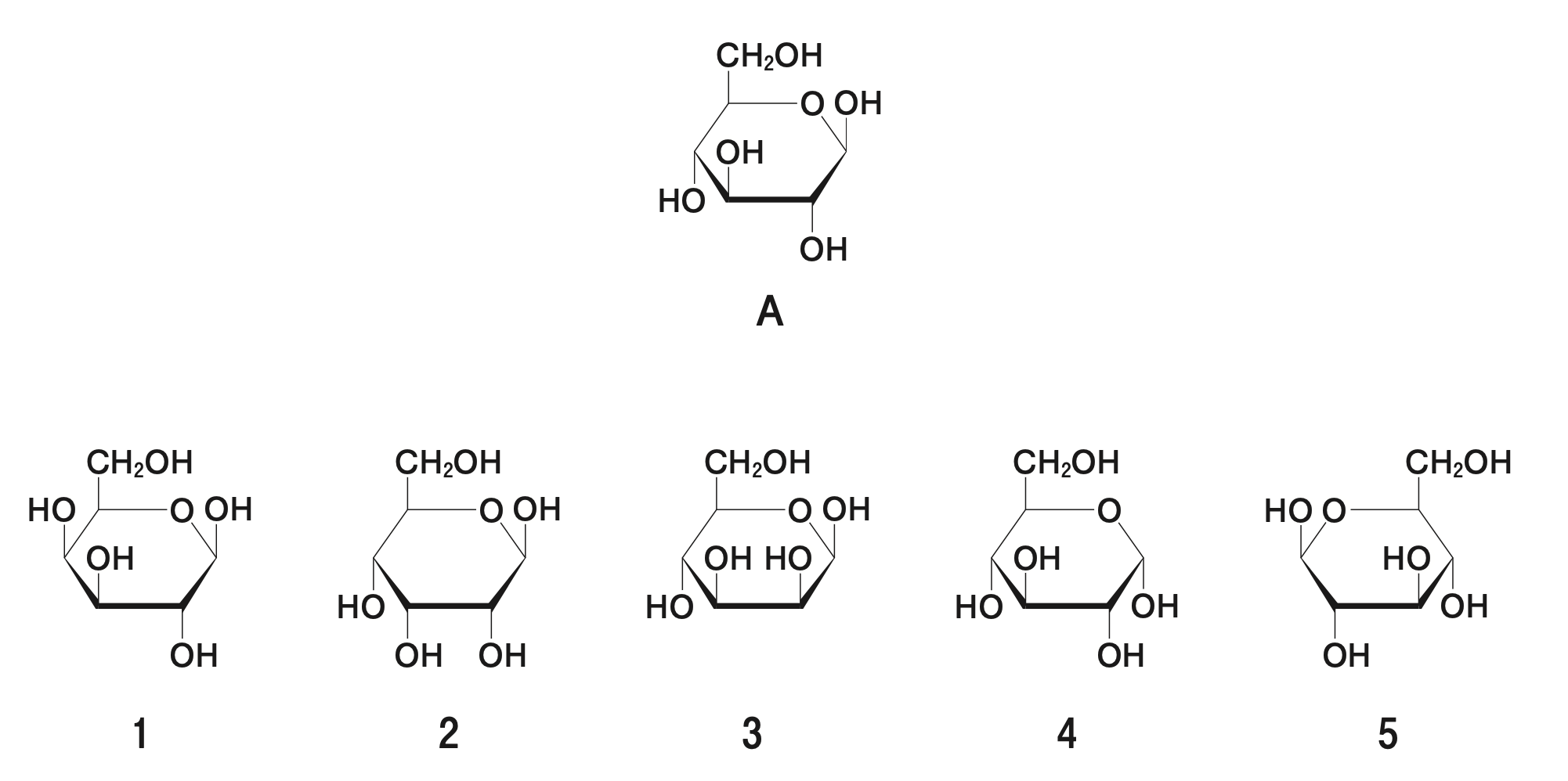
以下のアルドヘキソースAのアノマーはどれか。1つ選べ。
解答・解説
解答
4
解説
アノマーとは、環状糖(ピラノースまたはフラノース)におけるアノマー炭素(還元末端:C1)の立体配置が異なる異性体のことである。D-グルコースの場合、α–アノマーではアノマー性OHが下向き(C1のOHがC5のCH2OHと反対側:トランス)、β–アノマーでは上向き(C1のOHがC5のCH2OHと同じ側:シス)となる。このことから、Aは、β-D-グルコースであり、それに対するアノマーは、α-D-グルコース(選択肢4)となる。










コメント