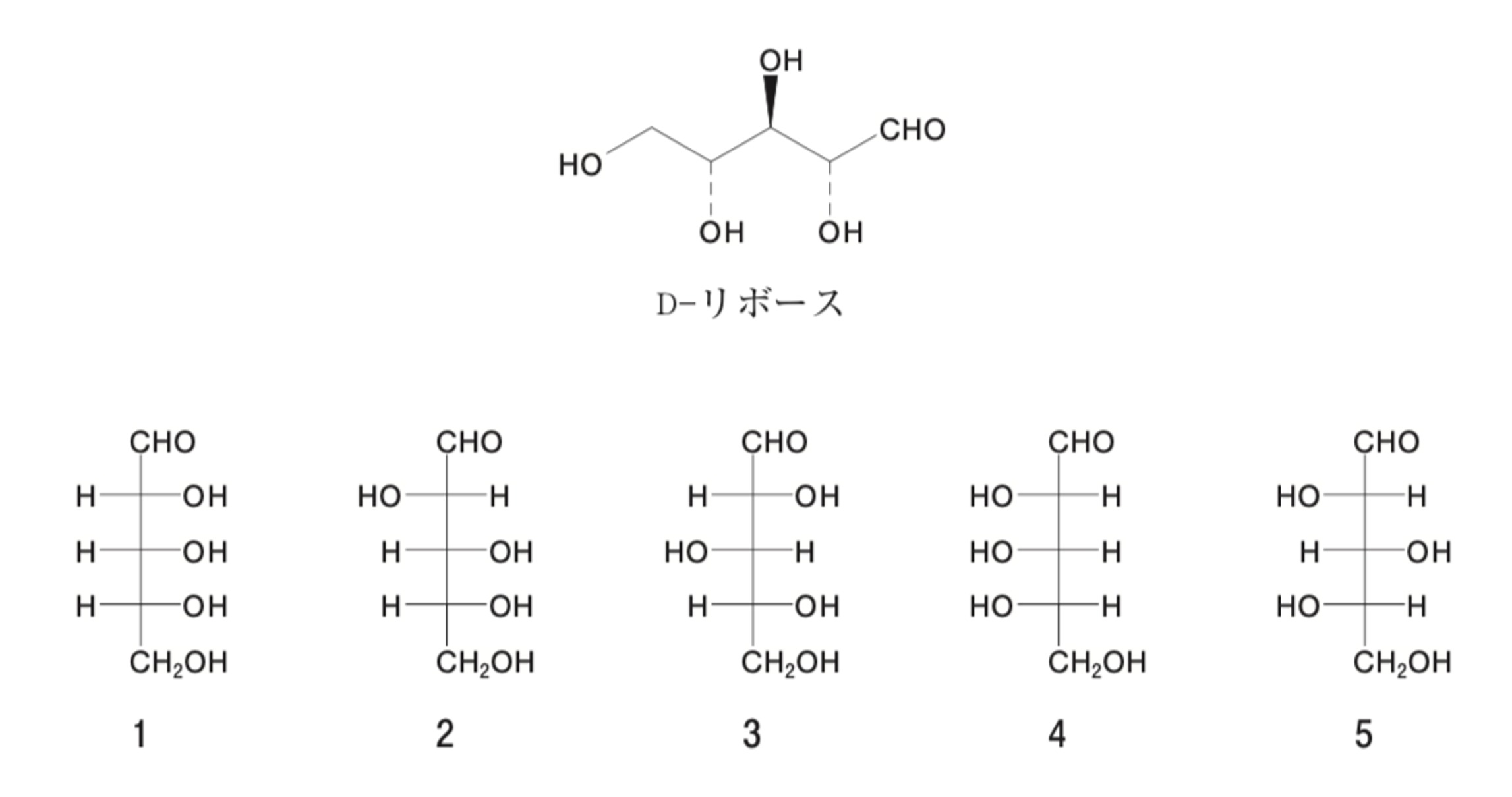
D-リボースの構造を正しく表しているFicher投影式はどれか。1つ選べ。
解答 解説 ◉絶対配置 フィッシャー投影式では、左右の結合は紙面の手前側、上下の結合は紙面の奥側に配置する。 DL表示、絶対配置より選択肢1がD−リボースとなる。 選択肢2:D-アラビノース 絶対配置(2S、3R、4R)解答・解説
1
◉DL表示
糖のDL表示は、鎖状糖をフィッシャー投影式で表記する場合、一番上に位置するカルボニル基から最も遠い不斉炭素に結合するヒドロキシ基が右にあるものをD体、左のものをL体とする。設問に「D-リボース」と記載されていることからフィッシャー投影式で表記した場合「CHO」から最も遠い「OH」が右となる(選択肢1、2、3のいずれか)。
下記よりD-リボースの絶対配置は、2R、3R、4Rとなる。
選択肢3:D-キシロース 絶対配置(2R、3S、4R)
選択肢4:L-リボース 絶対配置(2S、3S、4S)
選択肢5:L-キシロース 絶対配置(2S、3R、4S)













コメント