グルコース(C₆H₁₂O₆)は、最も一般的な単糖であり、細胞がエネルギー源として最もよく使用する糖である。生物の代謝の中心的な役割を果たし、特に人間を含む多くの生物にとって重要なエネルギー源となる。
構造と性質
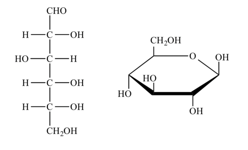
- 構造:
- グルコースは、6つの炭素原子、12個の水素原子、6個の酸素原子からなる化学式C₆H₁₂O₆の単糖である。分子内には、アルデヒド基(–CHO)を持つため、アルドースに分類される。
- グルコースは、環状構造をとることが多く、α-グルコースやβ-グルコースといった異性体が存在する。
- 性質:
- グルコースは水に溶けやすく、甘味がある。生理的には血糖値を上昇させる役割を果たす。
生理的役割
- エネルギー源:
- 血糖:
- 血液中のグルコース濃度は血糖値として知られ、体のエネルギー供給を調節する。食事を摂ると、血糖値が上昇し、インスリンが分泌されて血糖値を下げる働きをする。
- グルコースは、肝臓や筋肉にグリコーゲンとして貯蔵され、必要に応じてエネルギーとして利用される。
- 中枢神経系:
- 脳や神経系も、グルコースを主なエネルギー源として使用する。脳は体重の2%しか占めませんが、体全体のエネルギー消費の約20%を消費する。
食品と栄養
- グルコースは、炭水化物を多く含む食品に含まれている。主に以下の食品から摂取されます:
- 果物(特に甘いもの、例: ぶどう、リンゴ)
- 穀物(米、小麦、オートミール)
- 野菜(ジャガイモ、サツマイモ)
- 砂糖(ショ糖やグルコースシロップ)
- グルコースの利用:
- グルコースは、スポーツや激しい運動時に迅速にエネルギー源として利用されるため、運動後の回復を助ける。
医学的意義
- 糖尿病:
- 糖尿病は血糖値の調節が正常に行われない疾患である。インスリンの分泌不足や作用の低下により、血糖値が異常に高くなる。
- 糖尿病患者は、グルコースの取り込みや代謝が適切に行われないため、食事や薬物での管理が必要である。
- グルコースの過剰摂取:
- 過剰なグルコース摂取は、肥満やメタボリックシンドローム、さらには2型糖尿病のリスクを高める。
- 食品中の糖分が過剰に摂取されると、体内で脂肪として蓄積され、健康に悪影響を与える可能性がある。
- 低血糖:
- 逆に、血糖値が低くなる状態を低血糖と呼び、これは特にインスリン治療を行っている糖尿病患者に見られることがある。低血糖は、頭痛、ふらつき、意識障害を引き起こし、早急なグルコース摂取が必要である。





コメント