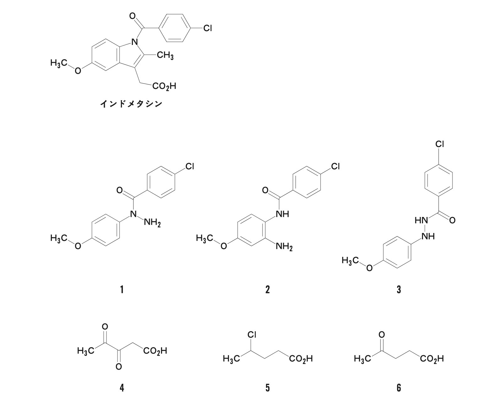
第100回薬剤師国家試験 問107 インドメタシンの合成 2025 1/24 第100回薬剤師国家試験 インドメタシンは、フィッシャー(Fischer)のインドール合成によって得ることができる。このインドール合成に用いられる化合物はどれか。2つ選べ。 解答・解説 解答 1、6 解説 フィッシャー(Fischer)のインドール合成では、以下の反応機構によりインドール環を合成することができる。 上記の反応における反応物と生成物を比較すると、生成物のⅠの部分はフェニルヒドラジンより、生成物のⅡの部分はケトンより生成したと考えられる。 選択肢1〜3の構造においてフェニルヒドラジン類似構造を有するのは、選択肢1であり、また、選択肢4〜6のうち、上記のⅡに該当する構造を与えるケトンは、選択肢6である。 第100回薬剤師国家試験 よかったらシェアしてね! URLをコピーしました! 第100回薬剤師国家試験 問106 カンデサルタン シレキセチル 第100回薬剤師国家試験 問108 1H-NMR 関連記事 第100回薬剤師国家試験 問345 計量調剤 2017年8月24日 第100回薬剤師国家試験 問344 栄養療法 2017年8月24日 第100回薬剤師国家試験 問343 メタボリックシンドローム 2017年8月24日 第100回薬剤師国家試験 問342 一般用医薬品 2017年8月24日 第100回薬剤師国家試験 問341 熱中症 2017年8月24日 第100回薬剤師国家試験 問340 向精神薬の取扱い 2017年8月24日 第100回薬剤師国家試験 問339 薬局製造販売医薬品(薬局製剤) 2017年8月24日 第100回薬剤師国家試験 問338 病棟での問題点に対する薬剤師の対応 2017年8月24日 コメント コメント一覧 (1件) […] 第100回 問107 […] 返信 コメントする コメントをキャンセルコメント ※ 名前 メール サイト
コメント
コメント一覧 (1件)
[…] 第100回 問107 […]