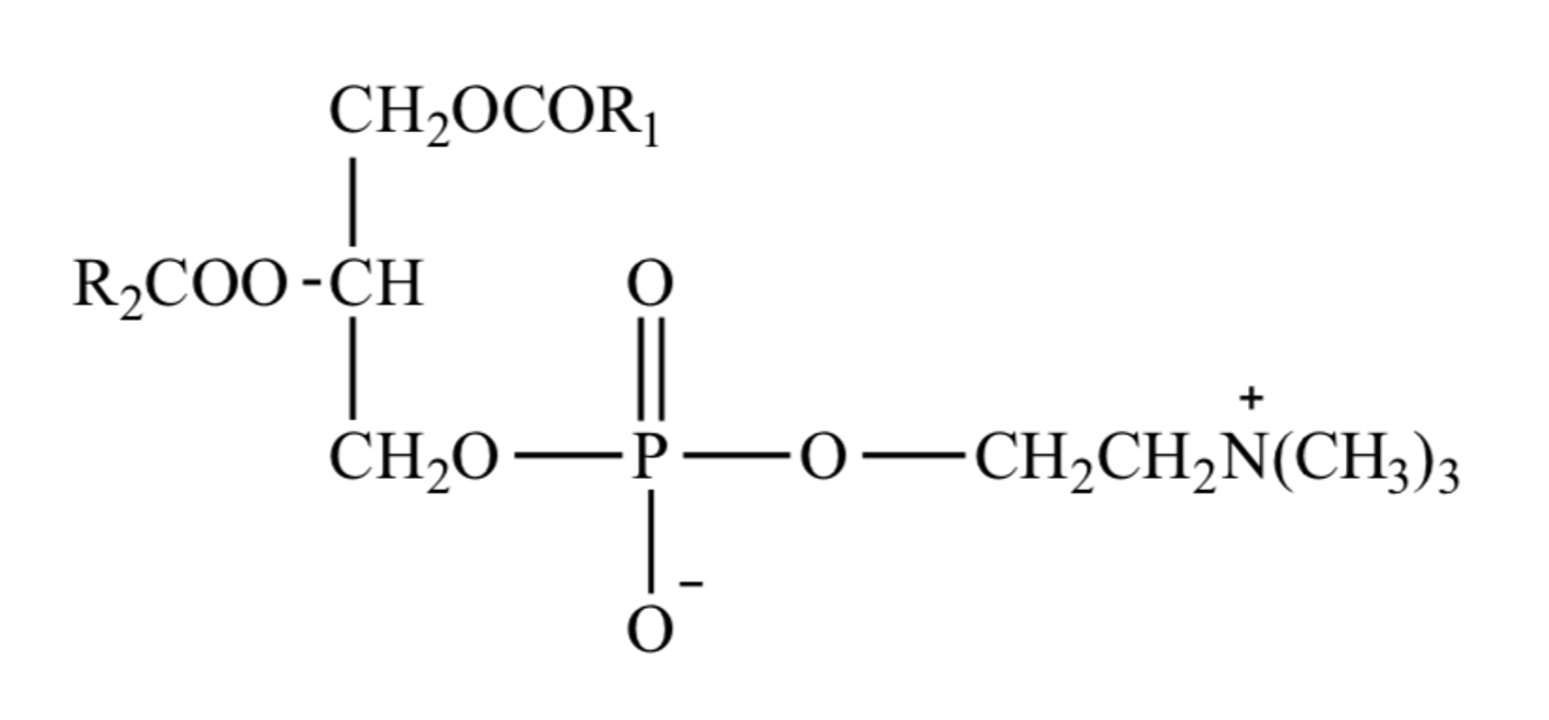
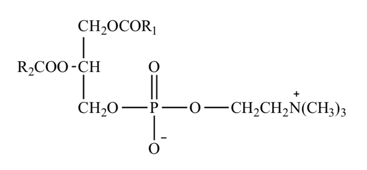
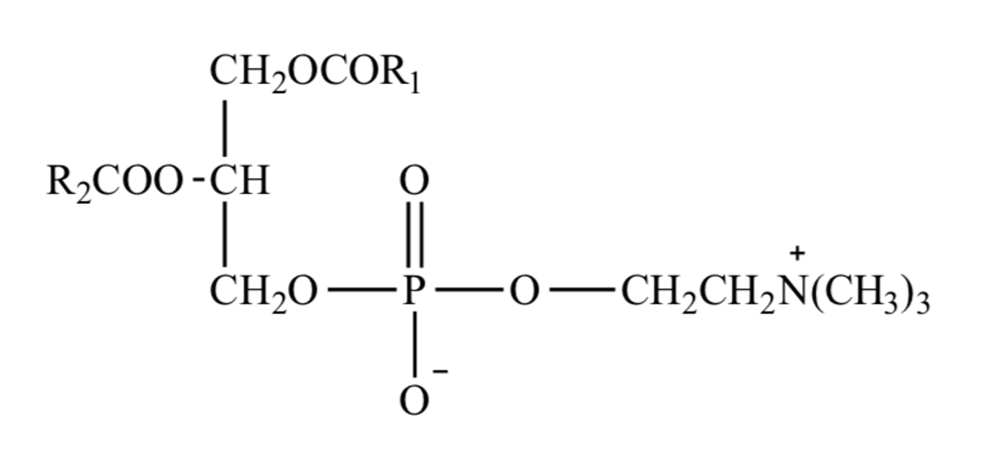
ホスファチジルコリン(Phosphatidylcholine, PC)は、グリセロリン脂質に分類される主要なリン脂質の一種であり、細胞膜の構成成分として非常に重要である。ホスファチジルコリンは、細胞膜の安定性、柔軟性、流動性の維持に寄与するだけでなく、生体内で様々な生理学的機能を果たしている。
ホスファチジルコリンの構造
ホスファチジルコリンは、以下の成分から構成されている:
- グリセロール骨格
- 分子の中心部分で、他の成分を結合する基盤。
- 脂肪酸
- グリセロールの1位および2位にエステル結合で結合する。これにより親油性の性質を持つ。
- 飽和脂肪酸や不飽和脂肪酸の組み合わせにより、ホスファチジルコリンの特性が変化する。
- リン酸基
- グリセロールの3位に結合し、親水性の特性を与える。
- コリン
- リン酸基に結合する塩基で、極性のある親水性部分を形成。
ホスファチジルコリンの機能
- 細胞膜の構成成分
- ホスファチジルコリンは、細胞膜に豊富に存在し、リン脂質二重層の主要成分として膜の柔軟性と流動性を維持する。
- 細胞間シグナル伝達
- ホスファチジルコリンは、細胞膜の動的な再編成や細胞間の情報伝達に関与する。
- 胆汁酸の形成
- 肝臓では、ホスファチジルコリンが胆汁酸ミセルの形成に必要であり、脂肪の消化・吸収を助ける。
- 炎症応答
- ホスファチジルコリンは、炎症反応を抑制する作用があるとされ、免疫機能の調整に寄与する。
ホスファチジルコリンの生理的役割と健康への影響
- 肝臓の健康
- ホスファチジルコリンは、肝臓の脂質代謝を調整する。
- 脳機能のサポート
- ホスファチジルコリンはアセチルコリン(神経伝達物質)の前駆体であり、記憶や認知機能の維持に関与する。
- 心血管系の保護
- 血中のホスファチジルコリンはコレステロールの輸送を助け、動脈硬化のリスクを低減する。
- 消化機能の支援
- 胆汁の成分として脂質の乳化を助け、脂肪の吸収を促進する。
ホスファチジルコリンを含む食品
ホスファチジルコリンは、多くの食品に含まれており、食事からも摂取可能である。
- 主な食品例:
- 卵黄
- 大豆(レシチンとして)
- 肉類(特に臓器)
- 魚類
- ナッツ類





コメント