ビタミンDは、脂溶性ビタミンの一種で、主に骨の健康維持やカルシウム代謝に関与する重要な栄養素である。体内でのカルシウムとリンの吸収を促進することで、骨や歯の形成・維持を助け、また免疫機能の調節や筋力の維持にも関与する。
ビタミンDの種類
ビタミンDにはいくつかの形態がありますが、主に以下の2種類が重要です:
- ビタミンD2(エルゴカルシフェロール)
- 植物やキノコ類に含まれる形態。
- 食品から摂取される。
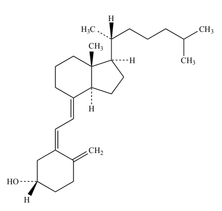
- ビタミンD3(コレカルシフェロール)
- 動物性食品や皮膚での紫外線照射により合成される形態。
- 体内での生産能力が高いため、主要な形態として知られている。
ビタミンDの生理作用
- カルシウム・リンの代謝調節
- 小腸でのカルシウムとリンの吸収を促進。
- 骨でのカルシウムとリンの沈着を手助けする。
- 骨の健康維持
- 骨形成を助けるだけでなく、骨が弱くなることを防ぐ(骨粗鬆症の予防)。
- 免疫機能の調節
- 自然免疫や獲得免疫の調整に寄与。
- 感染症や自己免疫疾患のリスク軽減に関与しているとされている。
ビタミンDの供給源
- 食事
- 魚類(サケ、マグロ、イワシなど)
- 卵黄
- ビタミンD強化食品(牛乳、シリアルなど)
- 紫外線による皮膚での合成
- 皮膚に紫外線B(UVB)が当たると、ビタミンD3が生成されます。
- 日光を浴びることで補充できますが、日焼け止めや室内生活が合成を減少させる要因になることもある。
- サプリメント
- 不足が疑われる場合、ビタミンD2またはD3のサプリメントで補充可能。
ビタミンD不足
ビタミンDが不足すると、以下のような症状や疾患が発生することがある:
- 小児:くる病(骨の変形や成長障害)
- 成人:骨軟化症、骨粗鬆症
- 免疫低下:感染症のリスク増加
- 筋力低下:特に高齢者で転倒や骨折のリスクが高まる
ビタミンDの過剰摂取
過剰に摂取するとビタミンD過剰症を引き起こし、以下の症状が現れることがある:
- 高カルシウム血症(悪心、嘔吐、腎障害、筋力低下)
- 石灰化の異常(腎結石など)





コメント