55歳男性。痛風の治療のため、以下の薬剤が処方されている。

問212 (実務)
痛風治療に関する記述のうち、誤っているのはどれか。1つ選べ。
- プリン体を多く含む食品の摂取は避ける。
- プリン体をほとんど含まない蒸留酒の摂取は控えなくてもよい。
- ベンズブロマロン投与開始後少なくとも6ヶ月間は必ず定期的に肝機能検査を行う必要がある。
- クエン酸カリウム•クエン酸ナトリウム製剤は、酸性尿を改善するために用いられる。
- 血清尿酸値4〜6 mg/dLを目標とする。
解答・解説
解答
2
解説
1 正しい
プリン体を多く含む食品を摂取すると、痛風が悪化することがあるため、痛風を治療する際、プリン体を多く含む食品(動物の内臓、魚の干物、ビールなど)を控える必要がある。
2 誤っている
アルコールを摂取すると、生体内における尿酸の生成亢進及び腎からの尿酸排泄の抑制により尿酸値の上昇が認められるため、プリン体をほとんど含まない蒸留酒であっても摂取を控える必要がある。
3 正しい
ベンズブロマロンは、投与開始6ヶ月以内に劇症肝炎等の重篤な肝障害を発現することがあるため、投与開始後少なくとも6ヶ月間は定期的(月に1回)に肝機能検査を行う必要がある。
4 正しい
ベンズブロマロンを服用すると、尿酸排泄が促進し、尿のpHが低下することで、尿路結石が発現しやすくなる。クエン酸カリウム・クエン酸ナトリウム製剤は、酸性尿を改善することで、ベンズブロマロン服用による尿路結石の発現を防止するために用いられる。
5 正しい
痛風治療においては、血清尿酸値を4〜6 mg/dLに維持することを目標としている。
問213 (物理・化学・生物)
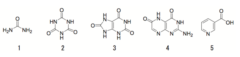
痛風発作の原因となる化合物の構造はどれか。1つ選べ。

解答・解説
解答
3
解説
痛風発作の原因となる化合物は尿酸(選択肢3)である。
なお、選択肢1:尿素 選択肢2:シアヌル酸 選択肢4:キサントプテリン 選択肢5:ニコチン酸である。
コメント
コメント一覧 (1件)
[…] 第97回 問212〜213 […]